近日,william威廉中文农药创制与应用团队在CHINESE CHEMICAL LETTERS(中科院1区,顶刊,IF = 8.9)上发表了题为Sustainable Fungicide Delivery via Imazalil-Functionalized Nano-Coordination Polymer Carriers: Enhanced Stability, Environmental Safety, and pH-Responsive Properties的研究论文。论文以WilliamHILL中国为第一完成单位,william威廉中文硕士研究生朱高生为第一作者,应用化学系于宝义副教授和王崇臣教授为通讯作者,尚巧霞教授给予了具体指导。本研究得到了北京市设施蔬菜创新团队项目(BAIC01)和都市农林学新兴交叉学科平台建设项目资助。


题目:基于咪唑功能化纳米配位聚合物的pH响应型杀菌剂递送系统:增强稳定性与环境安全性的可持续策略
英文题目:Sustainable Fungicide Delivery via Imazalil-Functionalized Nano-Coordination Polymer Carriers: Enhanced Stability, Environmental Safety, and pH-Responsive Properties
DOI:10.1016/j.cclet.2025.111428

摘要:本研究成功构筑了咪唑功能化纳米配位聚合物载体PDCP1,实现了杀菌剂的高效负载69%与pH响应性缓释。该材料显著提升了咪唑的紫外稳定性、存储稳定性和叶面附着性,对多种病原真菌展现出超高效抑制活性,同时降低了对非靶标生物的毒性,为农业化学可持续发展提供了新策略。项目组成功建立了一个创新型药物构筑材料体系。
前言
咪唑类杀菌剂在农业中应用广泛,但传统施用方法存在环境分散快、稳定性差等问题。近年来,纳米配位聚合物载体成为研究热点。Hou等通过溶胶-凝胶法将氯叶绿素负载于UiO-66中,制备出pH响应控制释放的纳米粒子,提高了农药效率并降低环境影响。Yang等则通过修饰ZIF-90并负载农药,制备出具有α-淀粉酶和pH响应性的纳米复合材料,展现出广谱的农药缓释性能。然而,现有研究在成本、合成复杂性、稳定性等方面仍存在不足。为此,有研究通过构筑咪唑功能化纳米配位聚合物载体PDCP1,实现了咪唑类杀菌剂的高效负载与pH响应性缓释,为农业化学可持续发展提供了新策略。
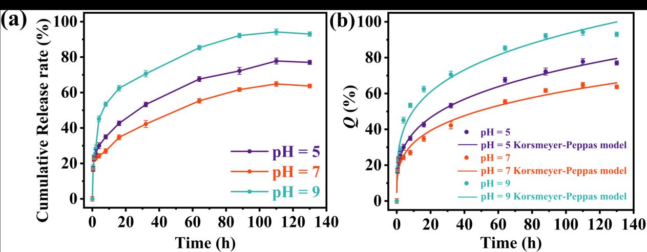
本文主要内容概括:本研究致力于开发可持续的杀菌剂递送系统。近期,通过将咪唑类杀菌剂抑霉唑(IMZ)与Zn(II)和1,3,5-苯三甲酸(H₃BTC)在混合溶剂中反应,成功合成了新型纳米尺度配位聚合物PDCP1(图1)。结构分析显示PDCP1具有高载药量(68.5%)以及pH响应性释放特性:在酸性环境(pH 5)中,药物释放迅速;而在碱性环境(pH 9)中释放更完全(120小时达94.3%)(图2)。实验表明,PDCP1对多种植物病原真菌(如胶孢炭疽菌、稻瘟病菌和黑斑病菌)展现出优异的抗菌活性,其EC₅₀值分别为0.72、0.92和0.56 μg/mL,显著优于传统IMZ溶液。此外,PDCP1还表现出良好的环境稳定性(图3),如UV稳定性提升(6小时UV照射仅降解50.34%)、热稳定性增强(54℃下7天仅分解6.24%),以及优异的水稳定性(7天无相变)。生物安全性评估显示,与IMZ溶液相比,PDCP1对大豆种子萌发、斑马鱼和RAW264.7细胞的毒性显著降低,具有更好的生物安全性。综上,PDCP1作为一种新型纳米杀菌剂载体,不仅提高了农药的利用效率,还为农业化学品的可持续发展提供了新策略。

图1. (a) PDCP1 合成; (b) DLS分析; (c) PDCP1 的配位环境及链结构; (d) 模拟和实验PXRD谱; (e) zeta电位; (f) TGA)和 IMZ DTG谱; (g) FT-IR; (h,i) SEM; (j) TEM图, 碳、氮、锌、氯和氧EDS mapping。

图2. (a) 不同 pH 值(5、7 和 9) 下 PDCP1 和 (b) 基于 Korsmeyer-Peppas 动力学释放模型的累积释放率。

图3. (a) 抑霉唑乳剂、抑霉唑溶液和 PDCP1 悬浮液的紫外线稳定性; (b) 固体抑霉唑和 PDCP1 在不同温度(5、27 和 54℃)下的热储存稳定性; (c) PDCP1 悬浮液的水稳定性测试; (d)大豆种子萌发实验和(e)幼苗高度实验; (f)以斑马鱼毒性测试。
TOC图:

原文链接:https://www-sciencedirect-com-s.webvpn.bua.edu.cn/science/article/abs/pii/S1001841725006126